Main content starts here

Magnesium Citrate - Pharmacokinetic (pK) Study

Bioavailability study

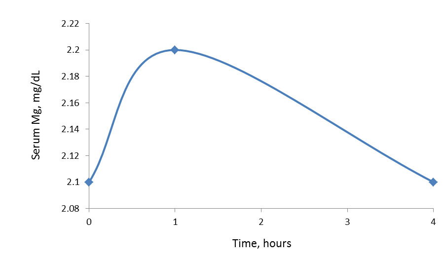
Magnesium citrate is a form of magnesium, a mineral involved in metabolism, muscle contraction, nerve impulse transmission, and bone mineralization.* Three healthy adult volunteers 26 to 59 years old participated in a clinical trial to study the bioavailability of Magnesium Citrate Tablets, a dietary supplement from NOW® (item # 1290). Serum magnesium concentration was measured at baseline, 1, and 4 hours following oral administration of two Magnesium Citrate Tablets providing 400 mg elemental magnesium.

Results

Average magnesium increased 5% above the baseline level one hour after ingestion, and returned to the pre-supplementation level four hours later. The study confirms the bioavailability of NOW® Magnesium Citrate Tablets.

A graph showing the average serum magnesium levels over four hours.
Time, hours Serum Mg mg/dL 0 2.1 1 2.2 2 2.18 3 2.14 4 2.1

 

 

Average serum magnesium level before, 1 and 4 hours following a single administration of two Magnesium Citrate Tablets (NOW®, Bloomingdale, IL; item # 1290) providing 400 mg of elemental magnesium in healthy adult volunteers.

 

*These statements have not been evaluated by the Food and Drug Administration. These products are not intended to diagnose, treat, cure or prevent any disease.