Main content starts here

Acetyl-L-Carnitine 500 mg Bioavailability Study

Bioavailability Study

Acetyl-L-Carnitine is a modified amino acid that supports cellular energy production by assisting in the transport of fat into the mitochondria, where it is oxidized and converted into ATP.*

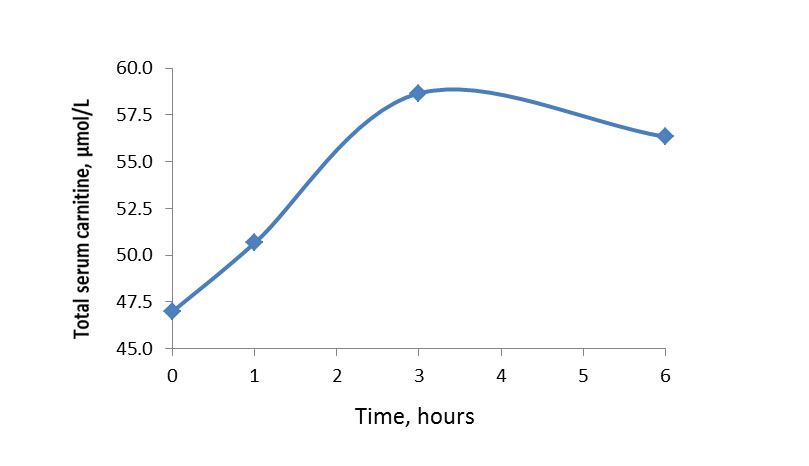
Three healthy adult volunteers, 22 to 55 years old, participated in a clinical trial to study the bioavailability of Acetyl L-Carnitine 500 mg, a dietary supplement from NOW® (# 0076). Total serum carnitine was measured at baseline, and again at 1, 3, and 6 hours following oral administration of 2 capsules providing 1 gram (1,000 mg) of acetyl-L-carnitine.

Results

Average serum carnitine peaked three hours after supplement administration, reaching 25% over the baseline level. Six hours post-supplementation, average carnitine concentration remained elevated 20% over the baseline level. This study confirms the exceptional bioavailability of NOW® Acetyl-L-Carnitine 500 mg Veg Caps from NOW®.

A graph showing the average concentration of total serum carnitine over six hours.
Time, hours Total serum carnitine, µmol/L 0 46.0 1 51.0 2 55.0 3 58.5 4 58.5 5 57.5 6 56.0

 

Average total serum carnitine level before, and 1, 3, and 6 hours following a single administration of two Acetyl-L-Carnitine 500 mg Veg Capsules (NOW®, Bloomingdale, Illinois; #0076) providing 1,000 mg of acetyl-L-carnitine in healthy adult volunteers.

*These statements have not been evaluated by the Food and Drug Administration. These products are not intended to diagnose, treat, cure or prevent any disease.